+86-20-3855-1181 Número Browse:0 Autor:editor do site Publicar Time: 2025-11-24 Origem:alimentado
As principais manifestações da inflamação da pele são os cinco sinais principais: vermelhidão, inchaço, calor, dor e coceira.
Sintomas básicos: Vermelhidão, inchaço, calor, acompanhados de sensações de ardor ou ardor em alguns casos.
Coceira: varia de leve a grave, muitas vezes deixando marcas de arranhões.
Anormalidades da pele: Secura e descamação, pápulas, bolhas; em casos graves, exsudação, formação de crostas, erosão e até ulceração.
O controle eficaz da inflamação não apenas melhora os problemas atuais da pele, mas também é a chave para prevenir problemas futuros e retardar o envelhecimento da pele. Ao compreender as causas e manifestações da inflamação, podemos fazer escolhas mais direcionadas de ingredientes de cuidados da pele e estilos de vida para proteger a saúde da pele na sua origem.
Quando ocorre vermelhidão ou ardência repentina, é essencial uma intervenção calmante imediata. Escolha produtos para a pele focados em efeitos antiinflamatórios e calmantes para combater o desconforto e aliviar rapidamente a resposta da pele ao estresse.
A inflamação danifica a barreira protetora natural da pele, levando à redução da capacidade de retenção de umidade. Utilize produtos dedicados à reparação da barreira para ajudar a reconstruir a camada protetora da pele e restaurar a sua capacidade de resistir aos irritantes externos.
A antiinflamatória não é uma solução temporária, mas requer cuidados diários consistentes. Opte por produtos de cuidado da pele suaves e não irritantes, combinados com uma rotina regular e uma dieta saudável, para manter a condição da pele estável de dentro para fora.
A anti-inflamação eficaz depende da coordenação de efeitos multidimensionais. Selecione produtos com os benefícios três em um de anti-inflamação, hidratação e reparação para construir um sistema de proteção completo, reduzindo fundamentalmente a inflamação recorrente.
Abordando a questão da inflamação, estamos introduzindo hoje um ingrediente antiinflamatório verdadeiramente eficaz – Hony D001. Pode aliviar a inflamação da pele, ajudar a melhorar a vermelhidão, ardor e outros problemas de sensibilidade e restaurar um estado saudável da pele.
A seguir, vamos explorar os efeitos marcantes deste ingrediente estrela!


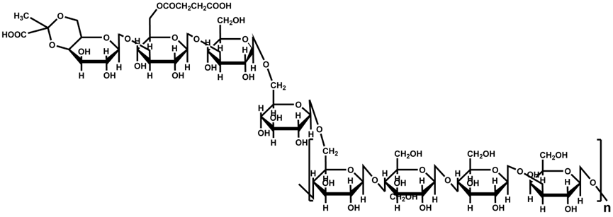
Hony D001 é derivado de polissacarídeos naturais, uma classe de polímeros biomacromoleculares altamente estruturalmente diversos. Os polissacarídeos são precisamente ligados por unidades monossacarídicas através de ligações glicosídicas, e alguns podem ainda se ligar a peptídeos, aminoácidos ou lipídios para formar combinações complexas de resíduos de açúcar, estabelecendo uma base sólida para sua excelente atividade biológica.
Origem natural, boa compatibilidade com a pele
Produzido por fermentação industrial, com qualidade controlável
Funções diversificadas, efeitos notáveis
Mecanismo de ação claro
Excelente compatibilidade com outras matérias-primas
Alta segurança biológica
Quer se trate de irritação ambiental ou dano à pele, Hony D001 pode exercer efeitos antiinflamatórios e reparadores de maneira direcionada, atendendo a diversas necessidades diárias de cuidados com a pele.
A radiação ultravioleta (UV) pode provocar eritema cutâneo, espessamento epidérmico e perda de colágeno. Hony D001 alivia as reações de queimaduras solares através de sua atividade antiinflamatória, ao mesmo tempo que reduz a produção de melanina para aliviar o embotamento e a vermelhidão pós-sol.
Para problemas de pele relacionados à inflamação, como dermatite atópica, reduz os níveis de fatores inflamatórios da pele, melhora a função de barreira e reduz desconfortos como inchaço e coceira. O uso a longo prazo pode reduzir a sensibilidade da pele.
Durante o processo de cicatrização de feridas, seu efeito antiinflamatório minimiza a interferência da inflamação na reparação tecidual. Entretanto, aliado às suas propriedades hidratantes, cria um ambiente favorável à reparação da pele e acelera a recuperação da pele danificada.
Hony D001 reduz a resposta inflamatória das células da pele.
Hony D001 inibe a resposta inflamatória dos macrófagos.
Hony D001 possui as vantagens duplas de alta segurança e notável eficácia antiinflamatória. Em aplicações de cuidados com a pele, pode efetivamente aliviar a inflamação da pele sem causar danos às células, tornando-o um ingrediente funcional ideal para cuidados com a pele.
Dados experimentais confirmam que o Hony D001 pode penetrar rapidamente nas camadas profundas da pele, acalmando simultaneamente vários sintomas inflamatórios, como vermelhidão, inchaço e ardor, fornecendo assim uma solução de reparação científica e eficiente para peles sensíveis.
Limpador Facial: Limpeza suave para prevenir vermelhidão pós-limpeza
Essência: Calmante direcionado para reduzir rapidamente a vermelhidão
Máscara Facial: Reparação intensiva para melhorar a função de barreira da pele
Creme Facial: Hidratação de longa duração para construir uma rede protetora
Shampoo: acalma a inflamação do couro cabeludo e melhora o ambiente do folículo capilar
Lavagem Corporal: Alivia acne corporal e problemas de sensibilidade
Loção Corporal: Repara a barreira da pele e proporciona hidratação duradoura
【Experiência】Novos produtos com Hony D001 já estão disponíveis!
【Entre em contato conosco】 Obtenha mais conhecimento profissional do produto!